深圳新闻网2019年7月14日讯(记者 何畅)今日(7月14日),深圳市招生考试办公室公布2019年公办高中特色团队录取标准。
2019年公办高中体育、艺术特色团队招生录取工作严格执行市教育局有关中考文件规定,坚持从严审核招生计划,严格落实阳光招生工作规定,在各校严格按照市教育局有关要求组织专项考核的基础上,市招考部门严格依据高中特色团队录取原则统一组织招生录取。各校未完成的特色团队招生计划,按规定转为该校普通生计划。已经被自主招生录取的考生不再参加统一划线录取(含提前批)。
根据《深圳市教育局关于做好2019年公办高中体育、艺术特色团队招考工作的通知》(深教〔2019〕158号)的规定,特色团队录取原则为:各校从报考本校的考生中按专业细项分别录取考生,即从专项考核合格、中考成绩达到本校特色团队文化课最低录取线(严格控制项目,原则上按不低于本校上一年普通生录取分数线下40分)的考生中,分专业细项按照其专项成绩由高到低排序录取;专项成绩排序相同的,再以其中考成绩由高到低排序依次进行录取。特色团队的录取不限学科等级及综合评价等级。
如有疑问,可直接向招生学校及市教育局德育与体卫艺处咨询(电话:88125677艺术、88102115体育)。
延伸阅读
深圳市2019年公办高中特色团队录取标准
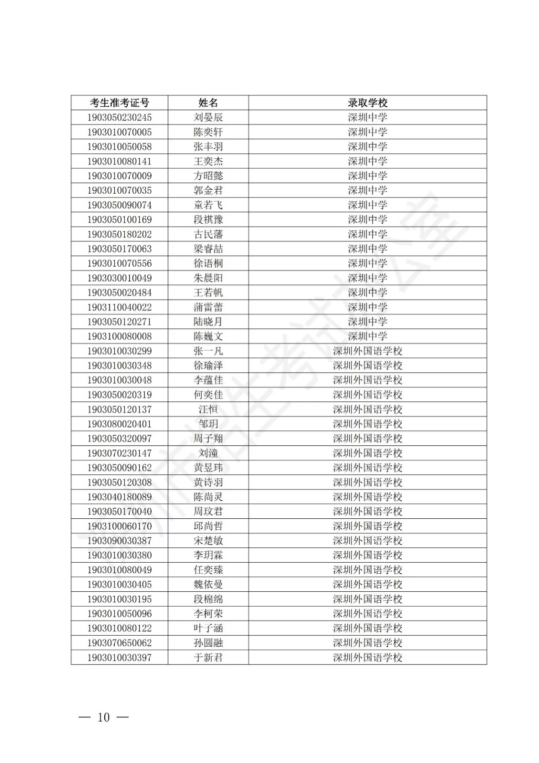
各学校特色团队录取名单(按考生号顺序)














